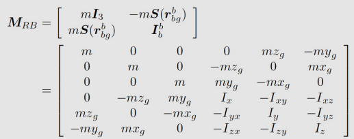
fbb=[XYZ]T— force trough the CO expressed in body framembb=[KMN]T— moment about the CO expressed in body framevbb=[uvw]T— linear velocity of the CO relative to origin of NED frame expressed in body frameωbb=[pqr]T— angular velocity of body frame relative to NED frame expressed in body framerbb=[xgygzg]T— vector from the CO to the CG expressed in body frame