For local flat-earth navigation it can be assumed that the NED tangent plane is fixed on the surface of the earth
Flat earth is a good approximation for ships operation in a limited region.
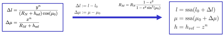
Longitude, latitude and height from flat-earth coordinates
Given a local NED position with a coordinate origin and reference height, the change in longitude and latitude is:

MSS toolbox flat2llh
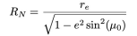
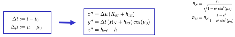
Flat-earth coordinates from longitude, latitude and height
The NED positions with respect to flat-earth coordinate system are computed as:

MSS toolbox llh2flat