The external forces are a combination of gravitational, aerodynamic, and propulsion:
The external moments are a combination of aerodynamic, and propulsion:
Gravity force
The gravity vector expressed in the vehicle is:
Expressed in the body frame we have:
Airfoil pressure distrubution

Aerodynamic forces act in CP (center of pressure).
Aerodynamic approximation 1

is lift coefficient. is drag coefficient. is pitch moment coefficient.
Drag force work against the velocity of the plane. Lift force works against the gravity of the plane. These forces are defined in the stability frame.
Control surfaces

Aircraft dynamics
Aircraft dynamics and aerodynamics are commonly separated into two groups:
-
Longitudinal
- Up-down, pitch plane, pitching motions
-
Lateral-directional
- Side-to-side, turning motions (roll and yaw)
Longitudinal aerodynamics
- Act in the plane, also called the pitch plane
- Heavily influenced by angle of attack
- Also influenced by pitch rate and elevation deflection
S = top-down view of wing, area of wing seen from above. c = mean chord = mean width of wing.
Aerodynamic approximation 2

Linear aerodynamic model

This linear model is valid for small angles of attack. Flow remains attached over wing (laminar flow).
Nonlinear aerodynamics

Nonlinear lift model

Nonlinear aerodynamic model

The stability derivative:
represents the sensitivity of lift to the angle of attack, and can be approximated by physical dimensions of the airfoil, where
b is the wingspan S is the wing area
Drag vs. angle of attack

Longitudinal forces/moments - body frame

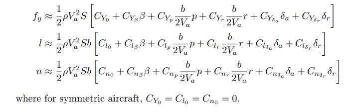
Lateral aerodynamics
= force along y-axis l = roll moment n = yaw moment b = wing span
coefficient for force in y-axis roll coefficient yaw coefficient
Linearizing the coefficients

Aerodynamic coefficients
are called stability derivatives because their value determine the stability of the aircraft.
- We distinguish between static and dynamic stability derivatives
- Static stability determines moments that arise when the UAV is perturbed from a nominal condition.
- Dynamic stability determines how the aircraft acts under the influence of disturbances
Longitudinal static stability derivative
Center of Pressure is the point where there is no moment due to aerodynamic forces. The lift and drag forces act at this point.
If the center of pressure is behind the center of gravity, then when , the lift force will tend to push back to zero. Otherwise, the lift force will tend to increase ||. Therefore .
Roll static stability derivative
Given the wind dihedral, a roll angle of will cause a side slip angle , which induces a side velocity , which increases the lift on the leading wing, and decreases the lift on the trailing wing, causing a negative rolling moment. Hence the dihedral angle causes
Yaw static stability derivative
For a positive side slip angle , the change in lift on the tail creates a moment arm about the center of gravity, that pushes the nose toward the direction of the wind, or in other words, creates a positive yawing moment . Hence .