Useful properties
Rotation matrices
The following notation is used to transform a vector from one coordinate frame to another:
Skew- symmetry of a matrix and cross- product operator
The vector cross product is defined by:
where
The inverse operator is denoted vex(.) such that
Euler angle transformation
Linear velocity transformation (zyx convention)

Angular velocity transformation(zyx convention)

6 DOF kinematic equations

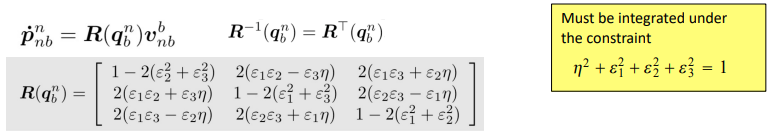
Unit quaternions
Linear velocity transformation

Angular velocity transformation

6 DOF kinematic equations 7 ODEs

Unit quaternion from euler angles

Euler Angles from a unit quaternion
